[프로그래머스/Python] 배달
문제 정보
제목 : 배달
난이도 : Lv.2
사용 언어 : Python
문제 링크
https://school.programmers.co.kr/learn/courses/30/lessons/12978
프로그래머스
코드 중심의 개발자 채용. 스택 기반의 포지션 매칭. 프로그래머스의 개발자 맞춤형 프로필을 등록하고, 나와 기술 궁합이 잘 맞는 기업들을 매칭 받으세요.
programmers.co.kr
문제 설명
N개의 마을로 이루어진 나라가 있습니다. 이 나라의 각 마을에는 1부터 N까지의 번호가 각각 하나씩 부여되어 있습니다. 각 마을은 양방향으로 통행할 수 있는 도로로 연결되어 있는데, 서로 다른 마을 간에 이동할 때는 이 도로를 지나야 합니다. 도로를 지날 때 걸리는 시간은 도로별로 다릅니다. 현재 1번 마을에 있는 음식점에서 각 마을로 음식 배달을 하려고 합니다. 각 마을로부터 음식 주문을 받으려고 하는데, N개의 마을 중에서 K 시간 이하로 배달이 가능한 마을에서만 주문을 받으려고 합니다. 다음은 N = 5, K = 3인 경우의 예시입니다.

위 그림에서 1번 마을에 있는 음식점은 [1, 2, 4, 5] 번 마을까지는 3 이하의 시간에 배달할 수 있습니다. 그러나 3번 마을까지는 3시간 이내로 배달할 수 있는 경로가 없으므로 3번 마을에서는 주문을 받지 않습니다. 따라서 1번 마을에 있는 음식점이 배달 주문을 받을 수 있는 마을은 4개가 됩니다.
마을의 개수 N, 각 마을을 연결하는 도로의 정보 road, 음식 배달이 가능한 시간 K가 매개변수로 주어질 때, 음식 주문을 받을 수 있는 마을의 개수를 return 하도록 solution 함수를 완성해주세요.
제한 사항
- 마을의 개수 N은 1 이상 50 이하의 자연수입니다.
- road의 길이(도로 정보의 개수)는 1 이상 2,000 이하입니다.
- road의 각 원소는 마을을 연결하고 있는 각 도로의 정보를 나타냅니다.
- road는 길이가 3인 배열이며, 순서대로 (a, b, c)를 나타냅니다.
- a, b(1 ≤ a, b ≤ N, a != b)는 도로가 연결하는 두 마을의 번호이며, c(1 ≤ c ≤ 10,000, c는 자연수)는 도로를 지나는데 걸리는 시간입니다.
- 두 마을 a, b를 연결하는 도로는 여러 개가 있을 수 있습니다.
- 한 도로의 정보가 여러 번 중복해서 주어지지 않습니다.
- K는 음식 배달이 가능한 시간을 나타내며, 1 이상 500,000 이하입니다.
- 임의의 두 마을간에 항상 이동 가능한 경로가 존재합니다.
- 1번 마을에 있는 음식점이 K 이하의 시간에 배달이 가능한 마을의 개수를 return 하면 됩니다.
입출력 예
| N | road | K | result |
| 5 | [[1,2,1],[2,3,3],[5,2,2],[1,4,2],[5,3,1],[5,4,2]] | 3 | 4 |
| 6 | [[1,2,1],[1,3,2],[2,3,2],[3,4,3],[3,5,2],[3,5,3],[5,6,1]] | 4 | 4 |
입출력 예 설명
입출력 예 #1
문제의 예시와 같습니다.
입출력 예 #2
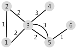
주어진 마을과 도로의 모양은 아래 그림과 같습니다.

1번 마을에서 배달에 4시간 이하가 걸리는 마을은 [1, 2, 3, 5] 4개이므로 4를 return 합니다.
나의 풀이
최단경로 알고리즘인 다익스트라 알고리즘을 이용하여 문제를 해결했습니다. 반복마다 최단 시간 정점을 찾기위해 heapq 모듈을 이용하여 힙 자료구조를 사용했습니다. 딕셔너리 자료형을 이용하여 time에 정점 별 최단 시간을 저장했습니다. 그리고 시작 정점인 1번의 시간은 0으로 설정했습니다.
힙에 1번의 시간와 1번을 heappush()한 후 while문을 이용해 힙에 요소가 있는 동안 반복합니다. heappop()을 이용하여 current_time, current_node에 값을 저장한 후, 도로 정보를 나타내는 road를 순차적으로 접근하는 for문을 생성하여 현재 걸리는 시간 + 다른 노드로 갈 때 걸리는 시간을 합하여 new_t에 저장해두고, 현재 노드가 road의 두 정점 중 하나와 일치하다면 그 정점(start_node or end_node)을 node에 저장하고, 아니라면 continue합니다. if문을 이용해 time[node]에 해당하는 시간을 new_t와 비교하여 더 적게 걸린다면 new_t값을 저장하고 heap에 시간과 노드를 추가합니다.
위의 과정 후, time 딕셔너리의 값을 순차적으로 접근하는 for문을 이용해 시간과 K값을 비교하여 참이면 answer을 +1하고 반복이 끝나면 리턴합니다.
코드
import heapq
def solution(N, road, K):
INF = 9999999
answer = 0
time = {i : INF for i in range(1,N+1)}
time[1] = 0
s = []
heapq.heappush(s,[time[1],1])
while( s ) :
current_time,current_node = heapq.heappop(s)
if ( time[current_node] < current_time ) :
continue
for start_node,end_node,new_time in road :
new_t = current_time + new_time
if ( current_node == start_node ) :
node = end_node
elif ( current_node == end_node ) :
node = start_node
else:
continue
if ( new_t < time[node] ) :
time[node] = new_t
heapq.heappush(s,[new_t,node])
for t in time.values() :
if ( t <= K ) :
answer += 1
return answer